弘德中医学堂
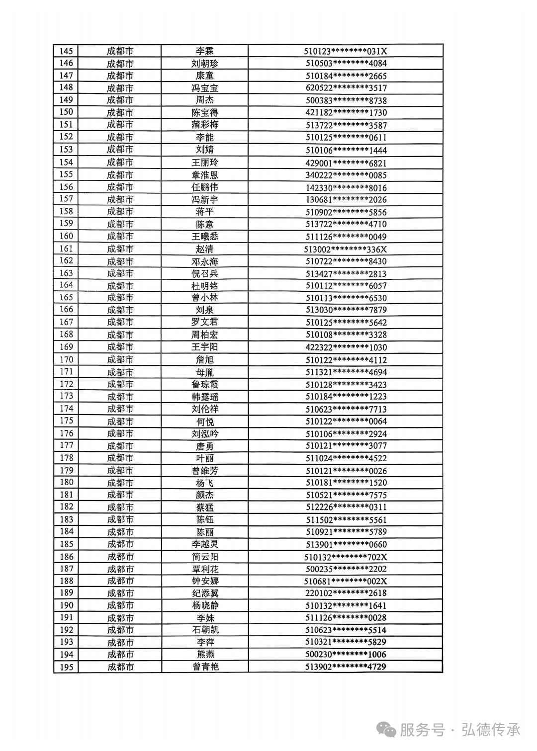
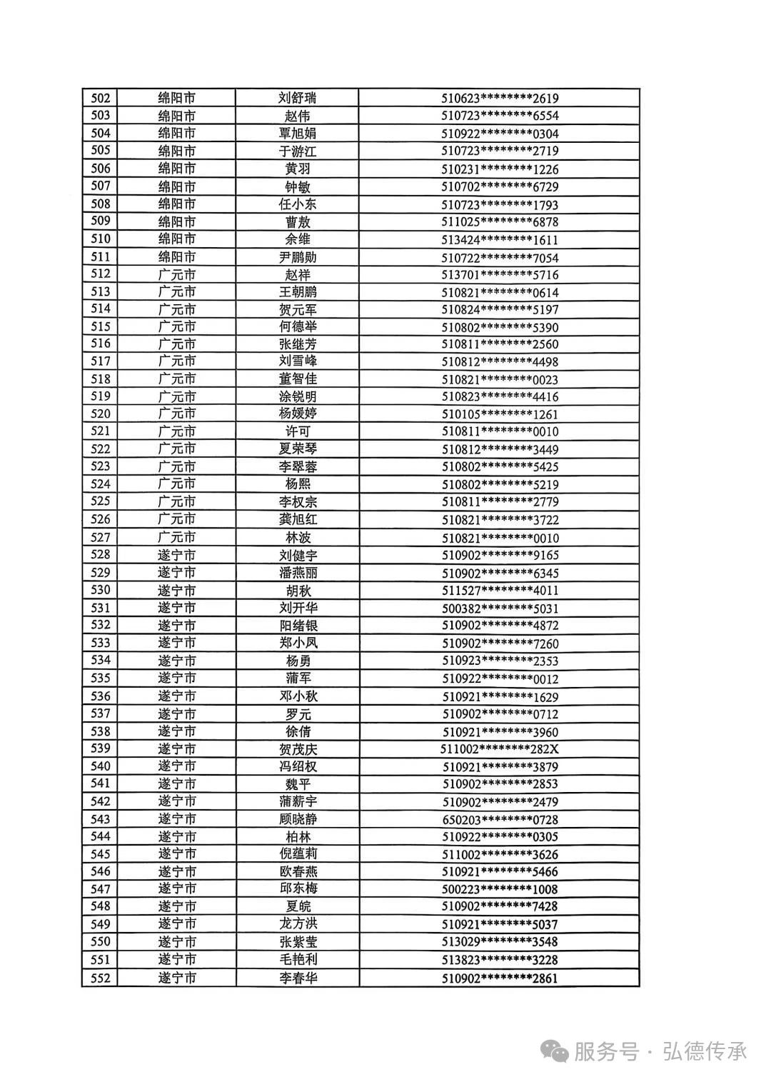
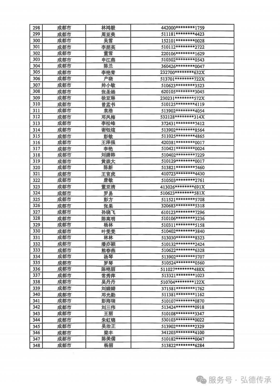
喜讯!2025年四川确有专长/师承合格名单出炉,恭喜各位
07/01
话不多说请看图:
恭喜各位,离医师更进一步!
更多资讯
弘德中医学堂关于开展2025年针灸研学培训班的通知
机构咨询
2025-02-18
弘德中医学堂关于开展2025年功能性中医康复理疗班的通知
机构咨询
2025-02-18
弘德中医学堂暖心服务三十余位退休老首长
机构咨询
2025-09-11
弘德中医学堂
详情
弘扬中医 以德为先
咨询电话:
4006807518
点击拨打
校区地址:
成都市青羊区温哥华广场15楼1号
版权所有:弘德传承
隐私政策
技术支持:
知效
JoySift
蜀ICP备2023035690号-3